| EN | 
首页 > 新闻中心 >  馆内动态

北京天文馆科研人员利用多波段观测发现双白矮星合并后演化中间态

发布时间:2026年03月09日

近日,北京天文馆郭金承副研究员联合清华大学王晓锋教授团队、加州大学伯克利分校Alexei V. Filippenko教授团队等国际联合科研团队,通过综合利用地面光学望远镜(TMTSKeck)、空间红外望远镜(WISE)以及中国发射的爱因斯坦探针(Einstein ProbeX射线卫星,对一颗名为TMTS J00063798+3104160(简称J0006)的特殊白矮星进行了全方位的体检。研究发现,这颗集超大质量超强磁场极速自转” (1.06倍太阳质量2.5亿高斯23分钟) 三大极端特征于一身的白矮星,处于双白矮星并合后演化的一个关键中间阶段。该研究成果已于近期发表在国际天文学顶级期刊《天体物理学杂志》(The Astrophysical Journal)上。

J0006_comp.gif

图1 J0006的演化想象图:a,小质量双白矮星互相绕转。b,通过辐射引力波缩短轨道后并合。c,并合早期形成大质量快自转强磁白矮星,伴随盘结构并辐射X射线。d,盘逐渐消散,X射线消失的大质量快自转强磁白矮星(J0006)。e, 盘完全消散无X射线的大质量快自转强磁白矮星(观测到的大多数)。

白矮星是中低质量恒星(如太阳)演化后的最终产物。通常情况下,单颗白矮星的自转周期较长,多为几小时甚至几天。然而,科研人员在检查TMTS的高频采样光变数据时,敏锐地捕捉到了J0006异常快速的亮度变化信号。数据分析显示,这颗0.36倍地球大小的白矮星每隔约23.15分钟(1389秒)就完成一次自转。这一发现随后得到了美国TESS卫星和ZTF巡天数据的独立确认。在已知的白矮星家族中,自转周期短于30分钟的成员极其罕见,J0006的发现无疑为这一稀有群体增添了重要一员。

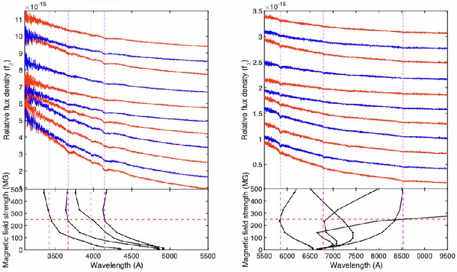
为揭开这位“宇宙快转手”的神秘面纱,研究团队利用位于夏威夷的凯克(Keck-I)10米口径望远镜对其进行了光谱观测。令人惊讶的是,J0006的光谱与普通白矮星截然不同,其氢原子吸收线呈现出极宽且浅的特征。这是极强磁场导致的“塞曼效应”分裂结果。通过与大气模型对比,科学家测定其表面磁场强度高达2.5亿高斯(250 MG),是地球磁场的数十万倍。除了转得快、磁场强,J0006还是一颗名副其实的“重量级”天体。结合盖亚卫星(Gaia)的高精度天体测量数据,研究人员计算出其质量约为1.06倍太阳质量。要知道,宇宙中白矮星的平均质量仅为太阳的0.6倍左右,J0006属于典型的“超大质量白矮星”。

图片 1.png

图2 利用10米口径Keck望远镜获得的光谱数据(上)与强磁场大气模型(下)的对比,显示出极端的塞曼分裂特征

如此极端的物理性质从何而来?研究团队认为,J0006最可能的起源是“双白矮星合并”事件。在宇宙中,成对的白矮星会因引力波辐射逐渐靠近并最终合并。这一剧烈过程不仅造就了它的大质量,合并时产生的剧烈发电机效应还激发了超强磁场,同时继承的轨道角动量使其获得了惊人的自转速度。

图片 2.png

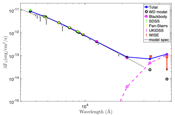
图3 J0006的光谱能量分布(SED)拟合,品红色曲线显示了在WISE W1波段明显的红外超额,对应温度约550K的黑体辐射

在确立了J0006是一颗质量约为1.06倍太阳质量、磁场高达2.5亿高斯、自转周期仅23分钟的罕见白矮星后,科研团队进一步探究了其周围环境和辐射特性,以验证其演化过程。

红外波段的“残骸”线索 利用WISE红外卫星的数据,科研人员在J0006的光谱能量分布中发现了一个明显的“红外超额”现象。单纯的白矮星光球模型无法解释这一辐射。这部分多余的红外辐射符合温度约550开尔文(约277摄氏度)的黑体特征。这并非来自白矮星本身,极有可能源自环绕在白矮星周围的一个盘状结构。科研人员推测,这是双星合并过程中被甩出的残留物质盘。这些尚未完全消散的“宇宙残骸”,成为了J0006处于并合早期显著盘结构与大多数晚期盘结构完全消散中间状态的有力证据。

X射线的“沉默”与演化时钟 为了搜寻可能与强磁场相关的X射线辐射,团队申请了中国科学院爱因斯坦探针(EP)卫星的“机会目标”(ToO)观测,累计曝光时间近1万秒。然而,EP卫星并未探测到来自J0006的X射线信号。 这一“零探测”结果具有重要的科学意义。对比另一颗已知的早期合并产物ZTF J2008+4449(自转周期仅6.6分钟,具有强X射线辐射),J0006显得更为沉寂。科研人员据此提出了一个演化图景:J0006可能代表了合并后演化的“中间态”。随着时间推移(约数千万年),合并产生的高温物质逐渐冷却,导致X射线辐射消失;具有双峰发射线的盘结构消散后剩下550K的黑体辐射红外超出。同时,星体的自转速度也因磁场制动效应从几分钟逐渐减慢至23分钟。

图片 3.png

图4 爱因斯坦探针(EP)卫星对J0006天区的X射线观测图像,绿色圆圈内未探测到明显辐射源

通过对比分析质量超过0.9倍太阳质量的少量白矮星样本,科研团队发现它们普遍拥有超强磁场,且大质量往往伴随着极短的自转周期(小于2小时)。J0006的发现填补了极早期并合产物与普通大质量磁性白矮星之间的演化缺环,就像一块珍贵的化石,记录了双星合并后数千万年间的冷却与演变历史。

该研究工作获得了国家自然科学基金(12203006)以及北科院北科青年学者(25CE-YS-02)等项目对于郭金承副研究员等的资助。

论文链接:https://doi.org/10.3847/1538-4357/ae3a7a