| EN | 
首页 > 新闻中心 >  馆内动态

北京天文馆研究人员利用前沿算法实现球状星团中 TRGB 的自动识别

发布时间:2026年03月13日

北京天文馆副研究员杨宜与北京天文馆副研究员邵珍珍、清华大学王晓锋教授、北京天文馆副研究员郑晓晨合作,结合前沿算法与 Gaia 观测数据,提出了一种用于球状星团中红巨星支尖自动化识别的算法。该研究成功将识别样本扩展到 91 个球状星团,并将富金属区间样本增加了 3 倍,进一步验证了红巨星分支尖端的金属丰度依赖性关系。相关成果已发表于知名天文学期刊《天文和天体物理学研究》(Research in Astronomy and Astrophysics)。

红巨星支尖(Tip of the Red Giant Branch, TRGB)是指恒星演化至核心氦闪前夕所达到的最大光度点。由于其在 I 波段的绝对星等具有较好的稳定性,TRGB 常被作为标准烛光用于测定近邻星系的距离。然而,球状星团内的红巨星数量相对有限,且容易受到场星干扰的影响。传统的 TRGB 识别多依赖于人工选择,不仅效率较低,且可能引入主观偏差。为了实现更客观、高效的识别,研究团队开发了一套自动化处理算法。

图片 1.png

图1:算法流程。

该算法首先从 160 个球状星团样本出发,利用 Gaia DR3 观测数据,筛选出成员概率超过 99% 的可靠样本,以降低背景星的干扰。在数据处理阶段,引入了局部离群因子(Local Outlier Factor, LOF)算法。这是一种机器学习中的无监督异常检测算法,能够识别出色指数-星等图(CMD)中偏离主体演化轨迹的离群点,从而减小观测误差对识别结果的影响。随后,采用二阶多项式对 RGB 演化轨迹进行拟合,并使用了 HuberRegressor 稳健回归模型,以增强算法对噪声的抗干扰能力,更准确地捕捉 RGB 的物理形态。TRGB 候选星被定义为距离拟合曲线端点加权距离最近的恒星,即红巨星支演化轨迹末端最红的恒星。

图片 2.png

图2:NGC 5139 星团的识别结果。

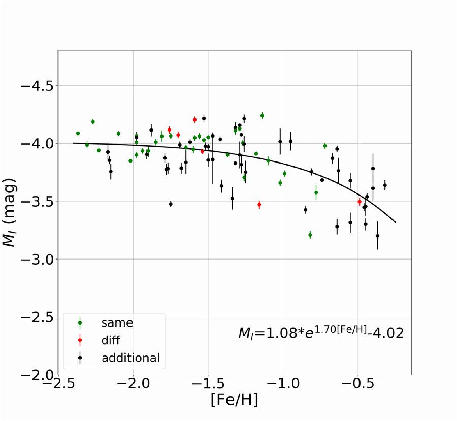
通过该算法,研究团队最终在 160 个星团中识别出 91 个具有可靠 TRGB 的样本,显著扩展了已有的球状星团 TRGB 样本量。结果分析表明,在贫金属区([Fe/H] < -1),TRGB 在 I 波段的绝对星等基本保持常数,拟合结果约为 -4.02 等。当金属丰度较高([Fe/H] > -1)时,I 波段光度表现出随金属丰度增加而减小的趋势。这一观测结论与恒星演化理论的预期相符。

图片 3.png

图3:TRGB 在 I 波段的绝对星等与星团金属丰度([Fe/H])的关系。

研究表明,该自动化识别算法具有较好的稳健性,并能够有效提高球状星团中 TRGB 的识别效率。随着中国巡天空间望远镜(CSST)和詹姆斯·韦布空间望远镜(JWST)等巡天任务的开展,天文学界将获得更大规模、更深度的星团观测数据。本研究提出的自动化识别算法将能够用于未来处理海量高精度观测数据的场景,并为后续在大尺度范围内进行距离标定提供参考工具。